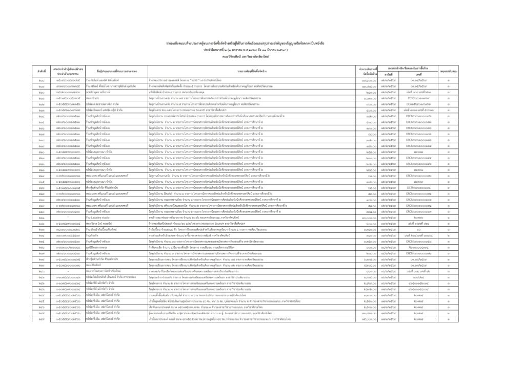
ประกาศผู้ชนะการจัดซื้อจัดจ้างหรือผู้ได้รับการคัดเลือกและสรุปสาระสำคัญของสัญญาหรือข้อตกลงเป็นหนังสือประจำไตรมาสที่ 2 (เดือนมกราคม พ.ศ.2569 ถึง 31 มีนาคม พ.ศ.2569)

เอกสารดาวน์โหลด: เอกสารประกาศผู้ได้รับการคัดเลือก ประจำไตรมาสที่ 2









ติดต่อสอบถาม